Инвестиции в человеческий капитал. курсовая работа (т). эктеория. 2022-06-04
Содержание
Введение
Глава
1.
Содержание понятия человеческий капитал
.1
Сущность
человеческого капитала как экономической категории
.2
Виды
человеческого капитала
Глава
2.
Инвестиции в человеческий капитал
.1
Источники инвестирования
.2
Инвестиции в науку и образование
.3
Инвестиции в послевузовское образование
.4
Инвестиции в здравоохранение
Глава
3.
Оценка эффективности инвестиций в человека
.1
Основные
показатели эффективности инвестиции в человеческий капитал
.2
Результаты
инвестирования
Заключение
Список
используемых источников и литературы
Введение
Развитие ведущих стран мира привело к
формированию новой экономики — экономики знаний, инноваций, глобальных
информационных систем, новейших технологий. Основу новой экономики составляет
человеческий капитал, являющийся главной движущей силой
социально-экономического развития современного общества. Человеческий капитал
становится главным фактором развития и роста. Сегодня качество национального
человеческого капитала не только лежит в основе социально-экономического
развития государства, но и выступает в качестве важнейшего фактора национальной
безопасности. Укрепление внутренней экономической безопасности способствует
укреплению глобальной экономической безопасности, обеспечению суверенитета
страны и самостоятельного пути ее развития.
Цель данной работы — выяснить роль человеческого
капитала и его влияние на экономический рост в России. В ходе курсовой работы
необходимо решить следующие задачи: понять, что такое человеческий капитал,
ознакомиться с его видами, рассмотреть политику инвестирования в человеческий
капитал и результаты инвестирования.
Объектом исследования является человеческий
капитал и его влияние на экономическое развитие.
Теория человеческого капитала и формирующаяся на
ее основе экономическая и социальная политика становятся областью
соприкосновения и взаимодействия интересов государства, предпринимателей,
профсоюзов, партий и других общественных организаций.
Что представляет собою Россия в современном
мире? Наконец, как изменился наш человеческий капитал за это время. Из чего
складывается человеческий капитал, как создать для него необходимые условия и
как приумножить его? Именно эти вопросы будут освещены в данной работе.
В основном формирование современной теории
человеческого капитала и ее выделение в качестве самостоятельного течения
мировой
экономической
мысли происходило в конце 50-х — начале 60-х годов XX века. Возникновение и
формирование концепции человеческого капитала в ее современном виде стало
возможным благодаря работам Т. Шульца и Г. Беккера. У истоков формирования и
разработки теории человеческого капитала в ее современном виде также стояли
известные американские и английские экономисты Б. Вейсброд, Л. Туроу, У. Боуэн,
М. Фишер, Дж. Вейзи. Позднее в разработку данной концепции значительный вклад
внесли С. Дейзи, Дж. Кендрик, Б. Кикер, Р. Лэйард, Ф. Махлуп, Г. Псахаропулос.
Глава 1.
Содержание понятия человеческий капитал
1.1 Сущность
человеческого капитала как экономической категории
В современной инновационной экономике особое
место занимают творческие способности человека, его интеллектуальные
возможности, смекалка, умение находить нестандартные решения сложных проблем. В
первую очередь обширные знания, отлаженная система информации, творческое
взаимодействие инноваторов необходимы для решения экономических,
художественных, научных, технических и социальных проблем. То есть человеческие
способности выступают основным капиталом в любой деятельности. С помощью своих
навыков человек приводит в действие различные механизмы, в том числе и
рыночный.
Изучение человеческого капитала началось еще в
XIX веке. С тех пор исследование этой категории является перспективным
направлением в развитии экономической науки. Первооткрыватели человеческого
капитала как целостной концепции Т. Шульц и Г. Беккер, основное внимание
обращали на инвестиции в человеческий капитал и оценку их эффективности. Это и
понятно, поскольку инвестиции средств как раз и превращают ресурс в капитал,
делают простое благо капитальным благом.
Л. Туроу, обобщивший первые исследования
человеческого капитала в качестве исходного понятия дает следующую трактовку:
«Человеческий капитал людей представляет собой их способность производить
предметы и услуги». Однако, человеческий капитал нельзя анализировать точно
также как физический капитал.
Ф. Махлуп предлагает разделить способности на 2
вида: первичные и усовершенствованные. «… Неусовершенствованный труд, — пишет
он, — нужно отличать от усовершенствованного, ставшего более производительным
благодаря вложениям, которые увеличивают физическую и умственную способность
человека. Подобные усовершенствования составляют человеческий капитал». Позднее
западные ученые занимались изучением структуры человеческих способностей,
которые выгодно капитализировать, определяли последовательность и отдачу
инвестиций в человеческий капитал.
В России с изучением данного вопроса связаны
такие имена как М. Критский, Л.Г. Симкина, Л.И. Абалкина, В.Н. Костюк, С.М.
Климов, А.Н. Добрынин и С.А. Дятловым.
М.М. Критский конкретизирует социально-экономическое
содержание категории «человеческий капитал». Во-первых, определяющая роль науки
и образования в современном производстве превращает материально-вещественный
капитал в одну из форм проявления интеллектуального капитала. Во-вторых,
единственно законная и обществом признаваемая монополия есть монополия на
интеллектуальную собственность, на исключительное авторское право. В-третьих,
произошел отказ от трактовки собственности только как имущественного отношения
и расширения прав интеллектуальной собственности на нематериальные активы. Л.Г.
Симкина рассматривала исторически последовательные формы обогащения
жизнедеятельности как в потреблении, так и в производстве.
Группа ученых под руководством Абалкина,
исследуя проблему стратегического развития России в XXI веке, рассматривают
человеческий капитал как сумму врожденных способностей, общего и специального
образования, приобретенного профессионального опыта, творческого потенциала,
морально-психологического и физического здоровья, мотивов деятельности, обеспечивающих
возможность приносить доход.
Исходя из этого социально-экономический прогресс
определяется, прежде всего, новыми знаниями, полученными
научно-исследовательскими работниками и осваиваемые в дальнейшем в процессе
образования и профессиональной подготовки и переподготовки работников.
Основными сферами деятельности, формирующими человеческий капитал, являются
научно-образовательный комплекс, система здравоохранения, сферы,
непосредственно формирующие условия жизни и быта.
В.Н. Костюк, исследуя социоэкономические
процессы и разрабатывая свою концепцию теории эволюции, определяет человеческий
капитал как индивидуальную способность человека, которая позволяет ему успешно
действовать в условиях неопределенности. В состав человеческого капитала исследователь
включает два компонента: рациональную и интуитивную составляющие. Их
взаимодействие позволяет владельцу человеческого капитала добиваться успеха
там, где недостаточно одной только высокой квалификации и профессионализма.
Дополнительное усилие это талант, который требует большего вознаграждения.
Исходя из этого, в условиях конкуренции, выигрывает тот, кто более успешно
пользуется своим собственным ресурсом, то есть капиталом.
С.М. Климов, анализируя интеллектуальные ресурсы
организации, определяет человеческий капитал как совокупность человеческих
способностей, дающая возможность их носителю получать доход. Это качество
роднит человеческий капитал с другими формами капитала, функционирующими в
общественном производстве. Указанный капитал формируется на основе врожденных
качеств человека через целенаправленные инвестиции в его развитие.
Социально-экономическую форму человеческого
капитала и его качественную определенность характеризуют А.Н. Добрынин и С.А.
Дятловов. Человеческий капитал, включает запас здоровья, навыков, знаний,
способностей, которые капитализируются при следующих условиях:
) потоковый, накопительный запас способностей
человека по фазам жизнедеятельности;
) целесообразность использования запаса
способностей, что ведет к росту производительности труда;
) прирост производительности труда закономерно
приводит к росту заработков работника;
) увеличение доходов мотивирует работника делать
дополнительные вложения в свой человеческий капитал, кумулятивно его
накапливать.
Опираясь на исследования ученых, можно дать
следующее определение человеческого капитала, которое раскрывает его полную
сущность. Человеческий капитал — это сформированный в результате инвестиций и
накопленный человеком определенный запас здоровья, знаний, способностей, мотиваций,
навыков, которые целесообразно используются в процессе труда, содействуя росту
его производительности, а также увеличивают заработки работника, доходы
предприятий и государства.
1.2 Виды
человеческого капитала
Существует различные подходы к определению видов
человеческого капитала. Например, западные исследователи выделяют виды
человеческого капитала по видам инвестиций. К ним относятся:
школьное образование;
обучение на рабочем месте;
укрепление здоровья;
растущий запас информации относительно экономики.
Всё эти виды деятельности нацелены на
формирование конкретных групп человеческих способностей, которые могут получать
капитальную оценку и применяться как человеческий капитал.
М.М.
Критский выделяет три основных вида человеческого капитала: «производственный
(Т), потребительский (Р) и интеллектуальный (S) капитал».
Также существует подход к выделению видов
человеческого капитала основанный на разграничении групп способностей,
необходимых для активной жизнедеятельности человека. К этой группе относятся
следующие виды:
Капитал здоровья.
Капитал здоровья является неотъемлемой частью
человеческого капитала. Инвестиции в здоровье выражаются в сохранении
работоспособности посредством уменьшения заболеваемости и увеличения
продуктивного периода жизни. Уровень здоровья человека определяется не только
генетическими данными, но так и во многом зависит от качества услуг
здравоохранения, которые оказываются человеку на протяжении всей жизни.
Инвестиции в здоровье обеспечивают нормальный оборот рабочей силы в производстве.
Снижение уровня здоровья, заболеваемость, инвалидность все это приводить к
ограничению трудоспособности, а то и к полной нетрудоспособности. Безусловно,
чем меньше болезней, тем выше уровень здоровья населения страны, тем самым
растет отдача от капиталовложений в здравоохранение. Хорошее здоровье населения
является результатом грамотно разработанной долгосрочной программы развития
здравоохранения. Расходы на здравоохранение — это выгодные инвестиции с
долгосрочной и постоянно возрастающей отдачей.
Трудовой капитал.
На предприятиях трудовой капитал воплощается в
труде квалифицированных рабочих, доля которых зависит от применяемой
технологии. Чем больше доля технологий, тем выше требования к трудовому
капиталу. Улучшение технологии или переход на новые требует инвестиций в
повышение квалификации и переквалификацию. Инвестиции в поддержание и повышение
квалификации дают непосредственную отдачу и работнику и предприятию. Трудовой
капитал формируется всю жизнь по мере накопления опыта, трудовых навыков,
умений и, самое главное, образования. Образование является главным способом
воспроизводства квалифицированных работников. В современном мире, люди с более
высоким уровнем образования получают более выгодную и высокооплачиваемую
работу. Эта тенденция зависимости образования и доходов человека одинакова во
всех странах. Это говорит о том, что в настоящее время не только выгодно
получать образование, но и выгодно вкладывать в него деньги, так как
образование в добавок ко всему напрямую отражается на производительности труда,
на эффективности производства в целом. Образованию уделяется особое внимание в
любом современном обществе. Вкладывая средства в образование, необходимо
помнить то, что эти инвестиции многократно эффективнее вложений в любой другой
фактор производства.
Интеллектуальный капитал.
Интеллектуальная, творческая деятельность
является пока уникальным атрибутом человеческого ума, изобретательности,
смекалки. Продукт интеллектуальной деятельности патентуется и закрепляется
авторским правом, как исключительная собственность автора, которому принадлежит
право определения направлений и форм ее экономического использования. Объекты
интеллектуальной собственности вовлекаются в хозяйственный оборот как
нематериальные активы предприятий и увеличивают доходы фирмы и собственников
данных активов. Интеллектуальный капитал как вид человеческого капитала
приобрел свою актуальность сравнительно недавно. Инвестиции в интеллектуальный
капитал получают все большее распространение из-за высокой эффективности. Эта сфера
в настоящее время развивается быстрыми темпами и является весьма перспективной
и высокодоходной отраслью экономической деятельности.
Глава 2.
Инвестиции в человеческий капитал
.1 Источники инвестирования
Источниками инвестиций в человеческий капитал
являются государство, отдельные фирмы, домохозяйства, негосударственные
общественные фонды и организации, международные фонды и организации.
Важная роль в инвестировании данной области
принадлежит государству. Инвестирование осуществляется с помощью принудительных
и побудительных мер. К принудительным мерам относятся обязательное для всех
образование в объеме средней школы, обязательные медицинские профилактические
мероприятия и другое. Но главное место занимают, конечно, побудительные меры.
Государство располагает двумя действенными способами, которые используются с
целью изменения размеров частных инвестиций в человека, предпринимаемых
автоматически через рынок: оно может повлиять на доходы тех, кто делает, а
также в состоянии регулировать цену приобретения человеческого капитала.
В создании активов человеческого капитала
немаловажное место занимают отдельные компании. Они зачастую выступают в
качестве самых эффективных производителей этого капитала, поскольку владеют
условиями, при которых может быть дана соответствующая текущим потребностям
подготовка персонала, а также обладают информацией о наиболее перспективных
направлениях вложения средств в обучение и подготовку. Однако фирмы
осуществляют инвестиции до тех пор, пока эти инвестиции приносят чистый доход.
На микроуровне инвестиции в человеческий капитал
представлены такими статьями затрат, как повышение квалификации работников;
оплата больничных листов нетрудоспособности; затраты по охране труда;
добровольное медицинское страхование, оплаченное фирмой; оплата медицинских и
других социальных услуг за работника фирмы; благотворительная помощь социальным
институтам и многое другое.
Собственными инвестиционными ресурсами на
предприятии выступают нераспределенная прибыль и амортизация. При расширенном
воспроизводстве прибыль, как известно, распределяется на две части — накопление
и доход, идущий на личное потребление и другие цели. Вкладывая деньги в тот или
иной объект, владельцы компании отказываются от текущего потребления в пользу
будущего роста доходов. Решение о целесообразности инвестирования средств в
человеческий капитал принимается на основе серьезных расчетов и прогнозов
повышения прибыльности компании.
Инвестиции в человеческий капитал на уровне
семьи также очень важны, поскольку все составляющие человеческого капитала
приобретаются и увеличиваются посредством инвестиций, которые семья вкладывает
в своего ребенка даже не с его рождения, а с принятия решении иметь детей. С
одной стороны, дети для родителей — это источник удовлетворения потребности в
семье, но с другой стороны, воспитание детей — это источник немалых затрат, как
явных, так и не явных (прежде всего, времени родителей).
Накопление интеллектуальных и
психофизиологических способностей человека в семье является фундаментом для
дальнейшего развития и постоянного совершенствования человеческого капитала
индивида. Инвестиции в развитие человеческого капитала детей не только является
основой их собственного развития, но и служит базой для формирования
совокупного человеческого капитала будущих поколений. В результате формируются
различные типы человеческого капитала, создаются базовые психофизиологические
умственные способности, формируется личность.
Инвестиции в человека, осуществляемые им самим,
очень разнообразны, так как связаны с самыми разными аспектами человеческой
деятельности. Очевидно, что забота о своем собственном здоровье и затраты, с
этим связанные, повышают возможности человека на рынке труда. Решение человека
о получении (или повышении) образования можно рассматривать как решение инвестиционное,
и, как любое инвестиционное решение, оно определяется сравнением издержек и
ожидаемых выгод от инвестиций.
Издержки могут быть разовыми или многократными,
поскольку обучение требует времени, а выгода заключается в ожидаемой разнице
потока доходов человека в зависимости от того, получил или не получил он данное
образование. Конечно же, огромное значение на решение о получении человеком
высшего образования оказывают не только прямые расходы (оплата обучения,
учебной литературы и тому подобное), но и альтернативные издержки — упущенный
доход в виде незаработанных денег на рынке труда или в сфере
предпринимательской деятельности.
Инвестиционная политика международных
организаций также немаловажна для России. Доля иностранных инвестиций в человеческий
капитал очень мала, однако тенденции к ее увеличению все же имеются.
2.2
Инвестиции в науку и образование.
Наиболее изучаемое направление инвестиций в
человеческий капитал — инвестиции в образование. В нормально функционирующей
рыночной экономике более образованные люди получают более высокое
вознаграждение за труд (зарплату и социальный пакет). Такая закономерность
объясняется тем, что обучение повышает продуктивность работника, дает ему
специальные навыки, знания и привычки (к добросовестному труду, дисциплине и
организованности), полезные в трудовой деятельности. Также более высокий
уровень образования свидетельствует о более высоких способностях, которые сами
по себе делают работника нужным работодателю.
Поддержка и развитие системы образования — одна
из основных задач государства. Как правило, всем гражданам обеспечивается
возможность получения бесплатного среднего образования, у молодежи есть
возможность бесплатно учиться и в высших учебных заведениях (государственных).
Расходы на образование, согласно законопроекту,
должны снизиться с 605,7 млрд руб. в 2022 году до 547,7 млрд руб. в 2022 году.
В 2022 году расходы на образование вырастут до 572,6 млрд руб., но все же это
ниже уровня 2022 года.
Что качается частных инвестиций в образование,
известна следующая информация. Опрос 10,5 тысячи родителей с детьми в возрасте
от 13 до 20 лет на предмет готовности оплачивать высшее образование своих детей
показал, что почти 60% семей считает получение диплома ребенком одной из
первостепенных финансовых задач. Родители готовы на серьезные материальные
траты ради получения детьми диплома университета. Занимательным является то,
что среди родителей с высшим образованием процент готовых платить за обучение
детей выше (70,2%), чем среди родителей, которые окончили только школу (49,3%).
Самым дорогостоящим на платных отделениях является обучение в медицинских
вузах. Стоимость этой услуги в среднем чуть более 100 000 рублей в год. Гораздо
ниже цены в технических вузах, где год обучения в среднем обходится в 51 500
рублей. Обучение студентов-контрактников в классических государственных вузах
стоит примерно 70 тысяч рублей в год. На самом деле, тот факт, что родители
готовы потратить немалое количество денег на обучение детей, является большим
показателем понимания и ценности человеческого капитала.
В ходе проведения Международного симпозиума
«Инвестиции в образование — вклад в будущее», который состоялся в
Москве в 2022 году, было отмечено, что раньше наука была сосредоточена в НИИ
(Научно-исследовательский институт) и в институтах Академий наук. Сейчас
большие средства инвестируются в то, чтобы развивать науку именно в вузах. И
есть три направления такой работы: создание инновационной инфраструктуры,
привлечение ведущих ученых, уехавших за рубеж и сотрудничество с наукоемкими
отраслями бизнеса. Студентами вузов в России становятся около 80 % выпускников
школ, поэтому инвестирование в этой области крайне важно.
За прошедшие годы разработаны и приняты
стратегические документы, касающиеся науки и инновационного развития,
реализуется целый ряд конкретных программ по развитию системы высшего
образования, привлечению молодежи в науку, содействию инновационной
деятельности. Значительно повысилась экспертная функция ученых. Разрабатываются
различные средне- и долгосрочные стратегические документы федерального,
регионального и отраслевого уровней, что в принципе невозможно без широкого
привлечения научных подходов и исследований. Ученые и изобретатели, в том числе
и молодые, значительно чаще стали появляться в качестве героев материалов СМИ.
Увеличилось число научно-популярных передач и Интернет-ресурсов.
В Концепции долгосрочного
социально-экономического развития Российской Федерации на период до 2020 года,
утвержденной распоряжением Правительства Российской Федерации от 17 ноября 2008
г. № 1662-р (КДР), поставлена задача «обеспечить научное и технологическое
лидерство России в мире по направлениям, определяющим ее конкурентные
преимущества и национальную безопасность», и говорится о необходимости
«повысить эффективность сектора генерации знаний (фундаментальной и прикладной
науки)».
Одним из первых указов Президента России
В.В.Путина после его вступления в должность стал Указ № 599 от 7 мая 2022 года
«О мерах по реализации государственной политики в области образования и науки»,
кроме того, вопросы науки, инноваций, образования часто упоминаются и в других
Указах Президента России. В них установлены следующие показатели в области
науки и высшего образования, которые должны быть достигнуты в результате
реализации государственной политики в сфере образования и науки:
вхождение к 2020 году не менее пяти российских
университетов в первую сотню ведущих мировых университетов согласно мировому
рейтингу университетов;
увеличение к 2022 году общего объёма
финансирования государственных научных фондов до 25 млрд. рублей;
увеличение к 2022 году внутренних затрат на
исследования и разработки до 1,77 процента внутреннего валового продукта с
увеличением доли образовательных учреждений высшего профессионального
образования в затратах до 11,4 процента;
увеличение к 2022 году доли публикаций
российских исследователей в общем количестве публикаций в мировых научных
журналах, индексируемых в базе данных «Сеть науки» (Web of Science), до 2,44
процента.
Данные показатели создают основу для
выстраивания стратегии и тактики повышения эффективности работы
научно-образовательной сферы и определяют выбор адекватных инструментов ее
развития.
2.3 Инвестиции в послевузовское
образование
При характеристике инвестиций в будущее
предприятия на первый план выходят инвестиции в человеческий капитал. Поскольку
мир не стоит на месте профессиональные знания устаревают, в зависимости от
профессии, со скоростью от 3-х до 10-ти лет. Для обеспечения нормального
функционирования современной экономике, процесс обучения должен быть
непрерывным.
Главным ресурсом любой фирмы является оборотный
капитал — это люди. Деньги — это важно, но люди, которые работают в
организации, гораздо важнее.
Чтобы прагматично смотреть на людей, следует
считать их инвестициями. Приобретение и удержание их стоит денег, и они должны
дать отдачу на эти издержки; их ценность растет по мере роста эффективности их
работы в должности и способности брать на себя больше ответственности. Как
правило, чем выше образование у человека, тем большую заработную плату он
получает, тем шире его возможности устроиться на престижную работу, лучше
адаптация к изменениям, вызванным НТР.
Вложение средств в обучение персонала, в его
подготовку, в повышение эффективности его работы может быть самым эффективным
вложением средств, потому что подготовленный и натренированный персонал сможет
дать прибыль, многократно перекрывающую стоимость его обучения и тренировки.
Инвестиции
в послевузовское образование играют положительную роль и для государства, оно
оказывается совладельцем приобретенного капитала образования, в последующем на
этом основании получая немалые проценты в виде прямых и косвенных налогов на
доходы специалиста. Таким образом, инвестирование послевузовского образования
выгодно всем экономическим субъектам.
2.4 Инвестиции в здравоохранение
Здоровье в обыденной жизни является важнейшей
ценностью. Здоровье, сила, выносливость, работоспособность — необходимые
качества личности для выполнения любой работы. Поскольку работать надо по 7-8
часов в день каждый месяц и год, то запас сил и энергии должен быть достаточным
и воспроизводиться ежедневно через нормальное питание, отдых, информационную
подпитку. Задачей медицинской науки и практики является познание процессов,
происходящих в организме человека, с целью сохранения и укрепления его
здоровья, а также разработки и практического применения методов (методик)
диагностики, предупреждения и лечения болезней. В этом же заинтересован и
каждый человек. На состояние здоровья обращают внимание и работодатели,
особенно по тем профессиям и рабочим местам, где имеются высокие требования.
Летчик и космонавт, оператор атомной станции, водитель автобуса и шофер —
дальнобойщик — эти и другие миллионы рабочих мест предъявляют к работнику
жесткие требования к состоянию физических сил и психологической устойчивости.
Заболеваемость негативно сказывается на качестве
работы, а то и приводит к нетрудоспособности. Поэтому очень важно сохранять
здоровья населения для полноценного развития экономики. Капитал здоровья
представляет собой инвестиции в человека, осуществляемые с целью формирования,
поддержания и совершенствования его здоровья и работоспособности. Капитал
здоровья является несущей конструкцией, основой для человеческого капитала
вообще. Инвестиции в здоровье, его охрана, способствующие сокращению
заболеваний и смертности, продлевают трудоспособную жизнь человека,
следовательно, и время функционирования человеческого капитала. Состояние
здоровья человека — это его естественный капитал, часть которого является
наследственной. Другая часть является приобретённой в результате затрат самого
человека и общества. В течение жизни человека происходит износ человеческого
капитала. Инвестиции, связанные с охраной здоровья, способны замедлить данный
процесс.
Здравоохранение наряду с чисто социальными
задачами решает и экономические,
связанные с повышением качества жизни человека, темпов роста экономики,
способствует формированию трудового потенциала общества. Поэтому финансирование
здравоохранения, т.е. инвестиции в капитал здоровья, следует рассматривать как
необходимый элемент воспроизводственного процесса, как специфическую форму
капитальных вложений. Анализ практики организации финансирования
здравоохранения показывает, что в формировании инвестиций в капитал здоровья,
как правило, участвуют 4 основных источника:
. Личные расходы граждан, которые заинтересованы
в своем
здоровье
как необходимом условии их благосостояния:
покупка лекарственных средств;
расходы на диагностику и обследование;
лечебные расходы;
потерянные доходы по болезни.
. Предприятия (фирмы), которые заинтересованы в
здоровом
персонале
как ведущем факторе производства:
расходы на технику безопасности;
санитарно — экологические меры (душевые, очистка
воздуха);
медицинская санитарная часть (лечение
профессиональные болезни);
финансирование оздоровительных мероприятий
(дополнительные отпуска, путевки).
Мировой опыт доказывает, что инвестиции в
человеческий капитал являются не только объективной необходимостью, но и имеют
высокую степень доходности, а также оказывают влияние на экономический рост.
Американскими учеными подсчитано, что смерть человека в возрасте до 16 лет
представляет собой чистый ущерб для общества; человек, доживший до 40 лет,
приносит обществу прибыль, а доживший до 65 лет — двойную прибыль.
Страхование является одним из основных способов,
к которым прибегают люди и различные предприятия для снижения потерь от
рисковых ситуаций. Основная цель медицинского страхования — гарантировать
гражданам при возникновении страхового случая получение медицинской помощи за
счет накопленных средств и финансировать профилактические мероприятия.
Фондом обязательного медицинского страхования
(ФОМС) выплачивается 11% всех расходов на поддержание капитала здоровья и
работоспособности. На каждом предприятии, фирме из заработной платы каждого
работника вычитается 3% в ФОМС.
Государство также заинтересовано в укреплении
здоровья граждан как важном условии
развития общества. В системе здравоохранения Российской Федерации за счет
бюджетного финансирования покрывается около 45% затрат, из них 40% падает на
федеральный бюджет и более 60% — на бюджеты субъектов Российской Федерации и
органов местного самоуправления; часть расходов здравоохранения финансируется
за счет средств, получаемых от предпринимательской и иной деятельности,
приносящей доход. По оценкам Всемирной организации здравоохранения, минимальная
величина средств, направляемых на здравоохранение, в современных условиях
должна составлять не менее 6% валового внутреннего
продукта.
На развитие отечественного здравоохранения в последние годы направлялось 2-3%
валового внутреннего продукта, то есть значительно меньше. Потребность
учреждений здравоохранения в современных видах медицинской
техники покрывается на 50-55%, а по ряду наименований медицинского оборудования
и инструментов — только на 20-22%.
Низкая фондовооруженность труда медицинских
работников не позволяет своевременно провести диагностику и лечение
заболеваний, отодвинуть пик смертности на более старшие возрасты, и это
оборачивается существенными экономическими потерями. Необоснованная экономия на
финансировании мероприятий по охране здоровья населения приводит к снижению
валового внутреннего продукта и прямому ущербу для общества в целом.
В 2022 году расходы на реализацию программы
госгарантий оказания медпомощи составили почти 1596 миллиардов рублей, что
составляет 2,9 процента российского ВВП. Около четверти этих средств было
выделено из федерального бюджета РФ, 35 процентов — из региональных бюджетов,
почти 40 процентов предоставила система обязательного медицинского страхования.
В 2022 году на здравоохранение пришлось 3,5%
расходов федерального бюджета, или 554 млрд рублей. Доля госрасходов на
здравоохранение в 2022 году остается на уровне 2022-2022 годов — 3,5 процента.
В дальнейшем предусмотрено плановое снижение доли ВВП на цели здравоохранения в
2022-2022 годах. Так в 2022 году эта доля сократится до 2,7% и составит 383
млрд рублей. Расходы по разделу «Физкультура и спорт» в ближайшие три года
также снизятся с 42,3 млрд рублей до 30,4 млрд рублей, доля этого раздела в
федеральном бюджете уменьшится с 0,3% до 0,2%.
До 2020 года Россия планирует потратить на
финансирование программы «Развитие здравоохранения» 27 триллионов
рублей. В числе приоритетов государственной программы «Развитие
здравоохранения» значится профилактика заболеваний, формирование здорового
образа жизни и санаторно-курортное лечение граждан; охрана здоровья матери и
ребенка, развитие медицинской реабилитации, внедрение инновационных методов
диагностики и лечения, совершенствование оказания специализированной и
высокотехнологичной помощи, а также решение проблемы дефицита кадров в
здравоохранении. Реализация программы должна состояться в два этапа — с 2022 по
2022 и с 2022 по 2020 годы.
Планируется, что в результате выполнения
программы к 2020 году средняя продолжительность жизни повысится до 76,1 лет, а
смертность — снизится. В частности, должна уменьшиться смертность от болезней
системы кровообращения (до 508,7 случая на 100 тысяч человек), от онкологии (до
178,2 на 100 тысяч человек), от туберкулеза (до 8,7 на 100 тысяч человек), от
дорожно-транспортных происшествий (до 7,6 на 100 тысяч человек), а также
младенческая смертность (до 5,61 на 1 тысячу родившихся). Предполагается, что
через семь лет россияне станут меньше употреблять спиртные напитки (не более
6,9 литра на душу населения) и курить (потреблять табак будет только 16
процентов взрослого населения страны).
Таким образом, можно сказать, что инвестирование
сферы здравоохранение является неотъемлемой частью, поскольку обеспечивает
поддержание здоровья населения, там самым сохраняется число трудовых ресурсов,
увеличивается трудовой потенциал страны. Как следствие происходит рост ВВП, что
обеспечивает улучшение состояние экономики в целом.
Глава 3.
Оценка эффективности инвестиций в человека
3.1 Основные
показатели эффективности инвестиции в человеческий капитал
При оценке эффективности инвестиций в
человеческий капитал используется тот же инструментарий, что и в целом для
оценки отдачи реальных инвестиций. Основными показателями являются:
• чистая приведенная стоимость (NPV);
• внутренняя норма доходности (IRR);
• норма отдачи человеческого капитала (ROR).
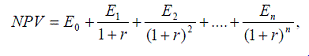
Чистая приведенная стоимость (NPV)
рассчитывается как сумма всех дисконтированных денежных потоков, генерируемых в
процессе использования человеческого капитала, в сравнении с инвестиционными
затратами. Её величина должна быть положительной; чем выше величина NPV, тем
выше эффективность инвестирования в человеческий капитал.

Формула 1.
Е — чистый прирост заработка;- ставка
дисконтирования;- число лет, в течение которых индивид получает заработную
плату.
Инвестиции в образование оказываются приемлемыми
только в случае превышения чистой приведённой стоимости нулевой отметки, т.е.
величина NPV должна быть положительной.
Это можно представить и графически.
График 1.
Необходимо сравнить издержки (1, 2) и выгоду (3)
при принятии решения об инвестировании в образование. Если суммарный заработок
превышает издержки, то образование является выгодным.

Рис. 1
Другим методом сравнения издержек и выгоды от
вложений средств в образование, который предлагается теоретиками человеческого
капитала, является вычисление внутренней нормы доходности (IRR). Известно, что
IRR — это такая ставка дисконтирования, при которой NPV обращается в ноль.
Поэтому представленное выше уравнение можно записать следующим образом:

Формула 2.
Если внутренняя норма доходности превышает
рыночную ставку процента r, то получать образование выгодно. Инвестировать надо
в том случае, если IRR≥r.
Сложность подсчета IRR связана с тем, что трудно
качественно определить такие факторы, как удовлетворение работой, безопасность
рабочего места, неденежные выгоды для индивида в целом. Весьма неоднородными
являются затраты на формирование и совершенствование человеческого капитала в
различные периоды, что влияет на его качество и отдачу, а в самой теории
исходят из гомогенности этих затрат. Дж. Минцер, например, показал, что отдачи
в виде заработков достигают своего пика, когда человек отработал 33,75 лет, а
затем начинает снижаться. Как правило, на основании использования NPV и IRR
делается ряд выводов:
. Чем более продолжительным будет ожидаемый срок
трудоспособной жизни, тем вероятнее, что чистая приведённая стоимость вложений
в человеческий капитал будет положительной. Этим объясняется участие молодёжи в
различных обучающих программах.
. Чем меньше затраты (как прямые, так и
косвенные), тем будет выше значение NPV.
. Чем больше разница в оплате труда работников,
получивших образование разного уровня, тем больше индивидуумов будет
инвестировать в образование.
Норма отдачи человеческого капитала (ROR)
рассчитывается как отношение суммарного денежного потока и инвестиционным
затратам. Специалисты в данной области выделяют ряд проблем по оценке ROR. В
частности М. Блауг, считает, что неверно все расходы на образование
рассматривать как инвестиции. Он утверждает, что обучение «предполагает как
потребительские, так и инвестиционные аспекты», а поскольку потребление не
учитывается, то и оценка ROR будет заниженной. Некорректными расчеты ROR могут
быть и в силу того, что в модели не учитываются неденежные составляющие.
Величина ROR может оказаться завышенной из-за того, что весьма сложно вычленить
в росте заработной платы элементы, которые не связаны с образованием. Значение
ROR будет завышенным и в том случае, когда не учитываются повышенные природные
способности человека, которые позволяют ему лучше, рациональнее и рентабельнее
ориентироваться на рынке труда. В связи с этим возникает проблема определения
единицы измерения объема капитала. При рассмотрении инвестиций в образование
обычно исходят из числа лет обучения. По мнению специалистов, данный показатель
не является адекватным, т.к. существуют флуктуации в качестве образования, что
не отражается при измерении объема человеческого капитала и его эффективности.
Важными факторами, воздействующими на отдачу человеческого капитала, которые
пока еще не получили должной оценки в исследованиях, являются религиозный
фактор, а также нравственность, карьеризм, тщеславие. Отдельные авторы при
оценке эффективности человеческого капитала выделяют:
• индивидуальную;
• общественную;
нормы отдачи от инвестирования в человеческий
капитал. Если индивидуальная норма отдачи предполагает результативность
вложений в объем и качество человеческого капитала для его носителя, то
общественная — для всего общества. Государство несет различные виды расходов на
систему образования, здравоохранения, рынок труда, регулирование
взаимоотношений работодателей и наемных работников. В свою очередь, эффект от
подобных вложений выражается в снижении уровня безработицы, росте заработной
платы, возрастании налоговых поступлений, снижении преступности, в формировании
более благоприятных и комфортных условий для подрастающего поколения и,
соответственно, более высокого качества человеческого капитала.
Используя такой показатель как общественная
норма отдачи человеческого капитала экономисты обосновывают необходимость
создания общественных фондов, повышения государственных расходов на
образование, здравоохранение, мобильность рабочей силы. Так, К. Макконнелл и С.
Брю утверждают, что размер государственных субсидий на систему образования
должен определяться на основе величины социальной выгоды.
Другой исследователь данной проблемы М. Блауг
сделал вывод о том, что увеличивать инвестиции в человеческий капитал
государство должно тогда, когда общественная норма отдачи превышает
индивидуальную. В США общественная норма отдачи рассчитывается с 1939 г., а
индивидуальная — с 1970 г. Он также выступил с идеей введения образовательных
ваучеров для малообеспеченных семей.
• общественная норма отдачи всегда ниже, чем
индивидуальная;
• общественная и индивидуальная нормы отдачи в
начальное образование выше, чем в среднее и высшее образование;
• норма отдачи от инвестиций в образование в
развивающихся странах выше, чем в развитых.
3.2Результаты
инвестирования
Исследования международных и российских аналитиков
привели к пессимистическому выводу: Россия быстро теряет свой человеческий
капитал. Этому способствуют миграционные и демографические процессы, снижение
уровня и качества систем образования, культуры и здравоохранения, а также
низкие темпы модернизации производства. В качестве общего негативного фактора
отмечена потеря стратегических целей у населения, депрессивный психологический
фон и усиление стрессовых нагрузок. Согласно демографическим прогнозам,
население России к 2050 г . сократится на 40 млн. человек. По информации Центра
миграционных исследований, к 2020 г . трудоспособное население России
сократится на 18-19 миллионов. Подобная демографическая ситуация вызвана, в
первую очередь, сокращением совокупного капитала здоровья нации.
Сокращение численности населения не позволяет
обеспечить формирование квалифицированных трудовых ресурсов, необходимых для
развития материального и интеллектуального потенциала РФ, и способствуют
усилению технологической зависимости России от иностранных государств.
Состояние рынков труда, особенно региональных,
плачевно. Все эксперты фиксируют дефицит качественных кадров. Причем это
касается не только высшего управленческого звена, но и среднего звена, и
рабочих. Многие компании жалуются на то, что они не могут наращивать
производство, потому что у них не хватает качественной рабочей силы.
По качеству человеческого капитала Россия
занимала четверть века тому назад 23 место в мире, сегодня — 66 место.
Ухудшение таких составляющих человеческого капитала, как здоровье, снижение
ожидаемой продолжительности жизни и низкий уровень образования в значительной
степени снижают эффективность человеческого капитала в России. Это, в свою
очередь, обуславливает необходимость разработки и реализации комплекса мер,
направленных на улучшение формирования и использования человеческого капитала.
Стратегия развития России на период до 2025 года
определяет восстановление человеческого капитала как одну из главных целей
реформ. Объем человеческого капитала России на 2022 год составляет 600 трлн
рублей. Его доля растет опережающими темпами в национальном богатстве, а
значит, и вложения в человеческий капитал должны быть в приоритете. Сегодня
качество национального человеческого капитала не только лежит в основе
социально-экономического развития государства, но и выступает в качестве
важнейшего фактора национальной безопасности. Демографическая ситуация в стране
характеризуется крайне низким уровнем рождаемости, не обеспечивающим простого
воспроизводства населения, высоким уровнем смертности, неэффективным
использованием миграционного потенциала, что не соответствует стратегическим
интересам РФ и представляет угрозу национальной безопасности страны.
Журнал «Эксперт» провел круглый стол с участием
Д.Медведева на тему «Человеческий капитал в стратегии национального развития».
По словам Медведева, его вывела на проблему человеческого капитала работа с
национальными проектами. Опыт реализации национальных проектов показал, что
привычная «затратная» политика в социальной сфере зашла в тупик. Необходимо
рассматривать социальные отрасли, как обычные отрасли производства. А это
означает переход от понятия «кадры» к понятию «человеческий капитал», из чего
следует необходимость разработки механизма роста этого капитала.
В итоге круглого стола были сделаны следующие
выводы:
рост человеческого капитала в стране должен быть
целью и программой действий правительства;
необходимо применение современных методов
изучения реального состояния человеческого потенциала (здоровье,
жизнеспособность, обучаемость);
необходим региональный мониторинг состояния
человеческого потенциала, в том числе применительно к задачам
научно-технической и инновационной политики;
необходимы исследования по реформированию
социальных отраслей. В этой области необходим пересмотр методологии школьного и
профессионального образования, усиление мотивации людей к развитию собственного
«человеческого капитала» и ответственности за его состояние.
По мнению большинства российских исследователей,
долгосрочная стратегия развития национального человеческого капитала в России
также должна осуществляться в соответствии со следующими концептуальными
принципами:
. Признание основополагающей роли государства в
формировании и воспроизводстве национального человеческого капитала;
. Комплексное решение задач формирования
человеческого потенциала и нового качества жизни;
. Опережающее развитие науки, образования,
здравоохранения, культуры по сравнению с другими элементами, обеспечивающими
позитивную динамику экономического роста;
Таким образом, проблема качества человеческого
капитала является важнейшим вызовом в области социально-экономического развития
страны. И главным ответом на этот вызов является повышение роли:
Науки и образования.
Профессиональной подготовки и переподготовки
кадров.
Здоровья населения.
Качества и условий жизни.
Заключение
человеческий капитал инвестиция
Подводя итоги, стоит отметить, что с каждым
годом значимость человеческого капитала увеличивается. Инвестирование в данной
области является перспективной деятельностью. Принципиально важным вопросом в
нынешней ситуации является эффективность использования в стране человеческого
капитала. Поэтому отечественным специалистам необходимо изучать все стороны
данного вопроса.
Можно с уверенностью говорить о том, что идеи,
заложенные в теории человеческого капитала, оказали серьезное воздействие на
экономическую политику государства, изменилось отношение общества к вложениям в
человека. В затратах на персонал научились видеть инвестиции, обеспечивающие
производственный, причем долговременный по своему характеру эффект. Это
обеспечило теоретическое обоснование для ускоренного развития системы
образования и подготовки кадров во многих странах, в том числе и в России.
Благодаря эффективным инвестициям формируется
человеческий капитал, и этим он подобен физическому капиталу. Инвестиции
оправданы, если они обладают достаточно высоким уровнем окупаемости и
рентабельности, их основными видам являются специальная подготовка, физическое
состояние человека, эмоциональное поведение сотрудников. В формировании человеческого
капитала участвуют различные факторы, которые нельзя упускать из внимания при
расчете норм отдачи от инвестиций.
Сегодня качество национального человеческого
капитала не только лежит в основе социально-экономического развития
государства, но и выступает в качестве важнейшего фактора национальной
безопасности. Целью реализации приоритетных национальных проектов объявлено
развитие человеческого капитала и повышение качества жизни граждан РФ.
Список используемых источников и
литературы
1. Инвестиции
в человека: экономическая наука и российская экономика / В. Марцинкевич //
Мировая экономика и международные отношения — 2005. -№9. — С. 29-39.
2. Инвестиции
в человеческий капитал вуза: особенности оценки эффективности / И.Н. Краковская
//Экономический анализ: теория и практика — 2009. — №35.- С. 38-47.
. Инвестиции
в человеческий капитал как фактор перестройки и модернизации экономики / С.
Алексеева, И. Квасов // Кадровик. Кадровый менеджмент. — 2022. — №9. — С. 80-88.
. Инвестиции
в человеческий капитал и эффекты образования [Текст] / И.В. Скоблякова //
Финансы и кредит. — 2006. — №23. — С. 76-79.
. Инвестиции
в человеческие ресурсы как объект бухгалтерского учета [Текст] / А.А. Куликов
// Бухгалтерский учет. — 2008. — №6. — С. 76-79.
. Инвестирование
средств в персонал как фактор повышения эффективности деятельности предприятия
/ И.Е. Рисин, И.В. Борзаков // Управление персоналом. — 2009. — №15. — С. 23-24.
. Инвестиции
в персонал приносят результаты [Текст] / Л. Калашникова, А. Калашников //
Служба кадров и персонал. — 2006. — №10. — С. 19-22.
. Инвестиции
в обучение работников. Практика корпоративной социальной политики предприятий
ОАО «Газпром» / Л. Дудаева, И. Еремина, А. Каримов // Кадровый менеджмент. —
2008. — №2. — С. 46-50.
. Инвестиции
в сферу науки и образования и конкурентоспособность экономики: проблематика и
её региональные аспекты / М. Луптак // Мир и согласие. — 2009. — №1. — С. 57-66.
. Емельянов
Ю.С. Человеческий капитал в модернизации России / Ю.С. Емельянов, А.А.
Хачатурян. — М.: Едиториал УРСС, — 2022.
11. Кафидов
В.В. Стимулирование потребности предпринимателей в развитии человеческого
капитала / В.В. Кафидов. — М.: Издательский дом «Дело» РАНХиГС
<http://www.ozon.ru/context/detail/id/7111934/>, — 2022.
. Крутько
В.Н. Человеческий капитал: проблема и ресурс инновационного развития России /
В.Н. Крутько, Т.М. Смирнова. — М.: Цифровичок
<http://www.ozon.ru/context/detail/id/19162959/>, 2022.
. Дятлов
С.А. Основы теории человеческого капитала / С.А. Дятлов. — М.: Издательство
Санкт-Петербургского Государственного Университета Экономики и Финансов
<http://www.ozon.ru/context/detail/id/856923/>, — 1994.
. Смирнов
В.Т. Человеческий капитал: содержание и виды, оценка и стимулирование / В.Т.
Смирнов, И.В. Сошников, В.И. Романчин, И.В. Скоблякова. — М.: Машиностроение —
1, — 2005.
. Янковкий
А. Предпринимательская деятельность и кадровый капитал / А. Янковский. — Маркетинг.-
М., 2000.- №1 — С. 100-112.
. Добрынин
А.И. Человеческий капитал в транзитивной экономике: Формирование, оценка,
эффективность использования / А.И. Добрынин, С.А. Дятлов, Е.Д. Цыренова. — СПб.:
Наука,- 1999. — С. 309.
. Институт
свободы Московский Либертариум [Электронный ресурс] / Теория человеческого
капитала <http://www.libertarium.ru/libertarium/10624>;
. Академия
[Электронный ресурс] / «Человеческий капитал» и «Человеческие ресурсы»
<http://www.academy35.ru/node/124276>.
. ЦИРЭ:
Центр исследований региональной экономики [Электронный ресурс] / «
Эффективность национального человеческого капитала: методика измерения»
<http://www.lerc.ru/?part=articles&art=3&page=22>.
. Федеральная
служба государственной статистики [Электронный ресурс] / Инвестиции в России
2022 <http://www.gks.ru>




